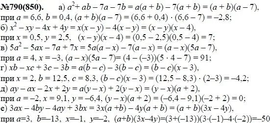
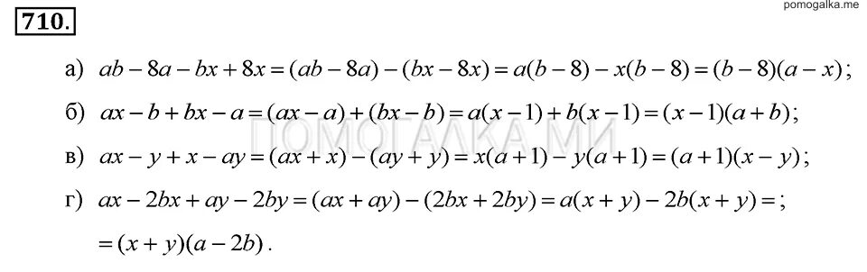
Алгебра 7 класс страница 161