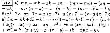
Алгебра 7 класс стр 12 упр 22