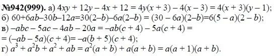
Алгебра 7 класс решение 3