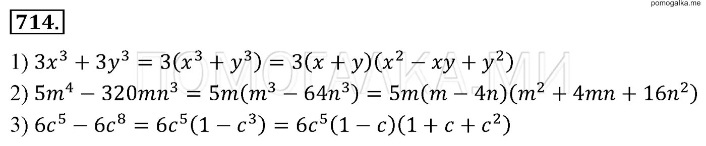
Алгебра 7 класс мерзляк функции