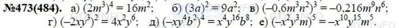
Алгебра 7 класс макарычев упр 95