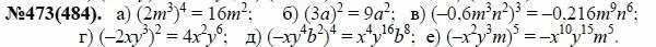
Алгебра 7 класс макарычев упр 473