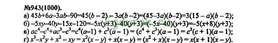
Алгебра 7 класс макарычев страница 96