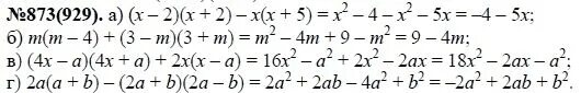
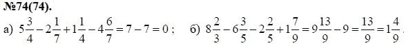
Алгебра 7 класс макарычев миндюк 2025