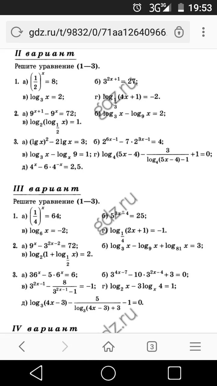
Алгебра 11 класс решение показательных неравенств