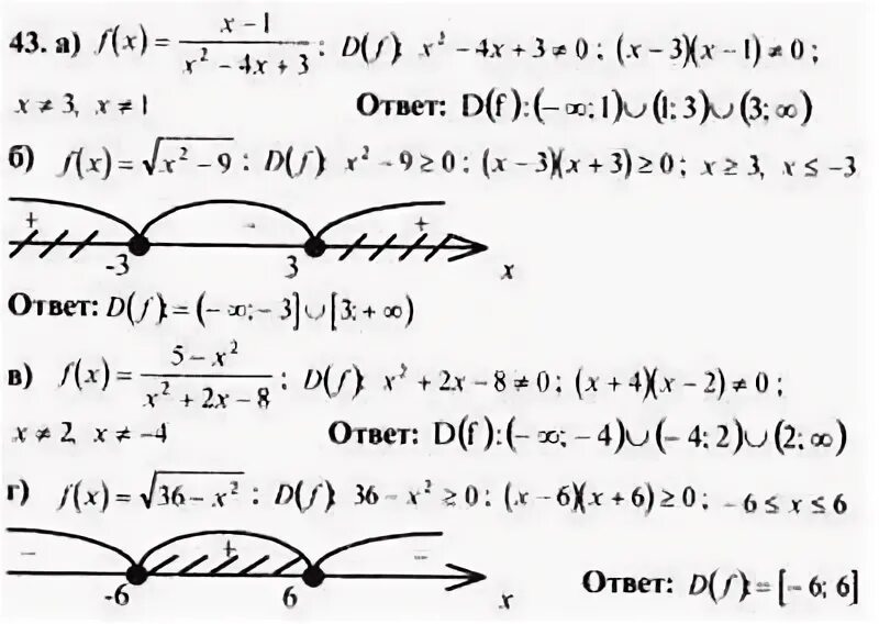
Алгебра 11 класс а н колмогоров