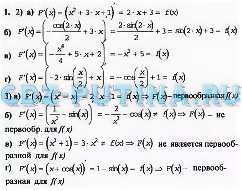
Алгебра 10 11 колмогоров абрамов дудницын