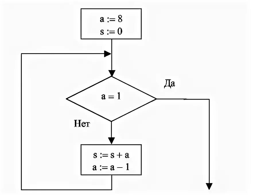
Административная контрольная работа по информатике