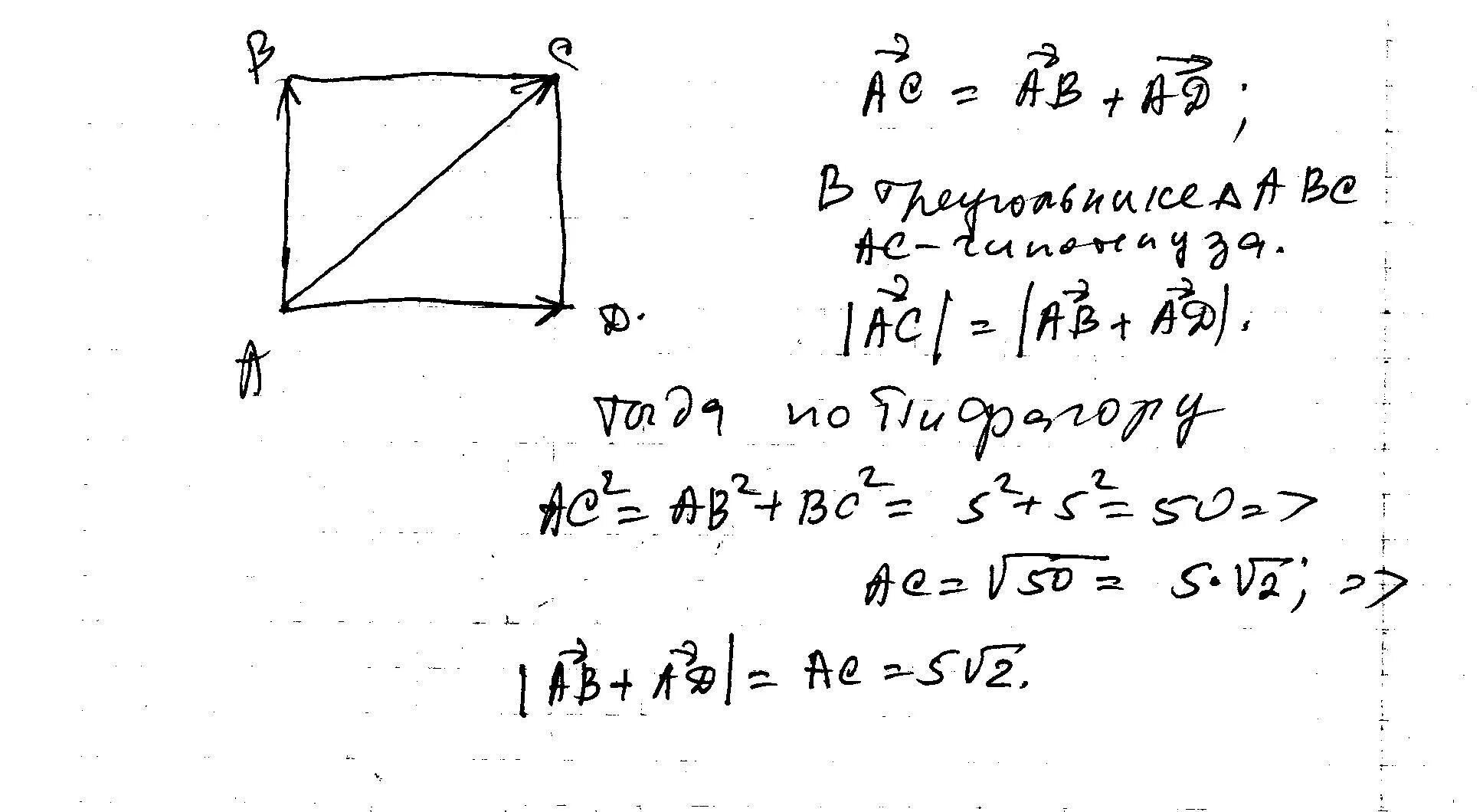
Abcd квадрат найти ab