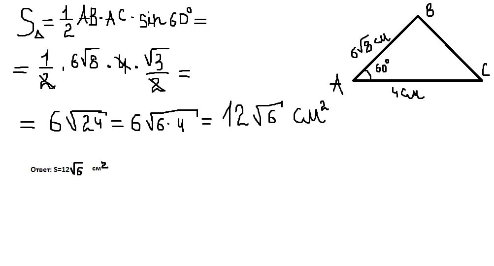
Ab 6 найти площадь abc