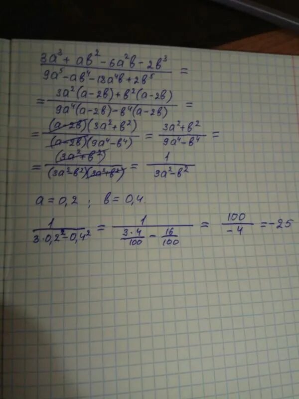
A1 0 2 a2 0 5