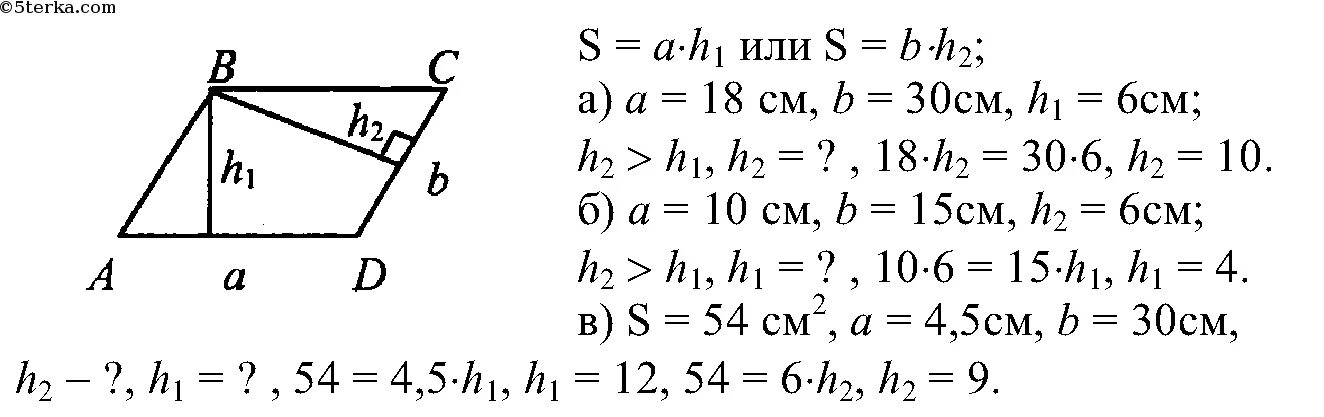
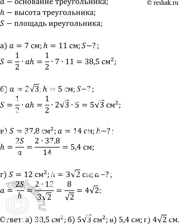
А основание h высота s площадь