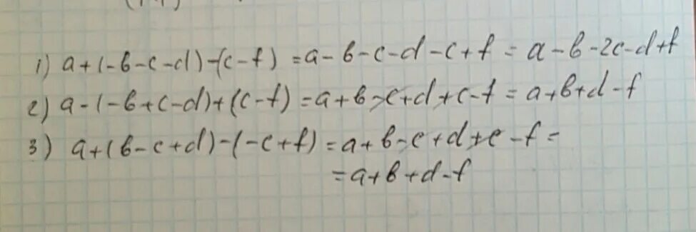
A b раскрыть скобки ответ