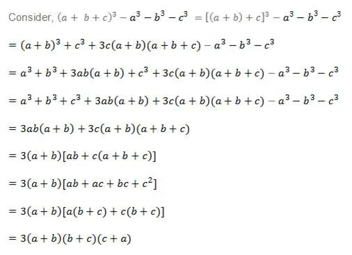
A b 3c 2a c