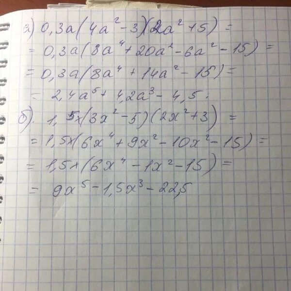
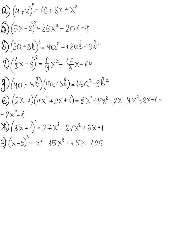
А 4 2 в многочлен