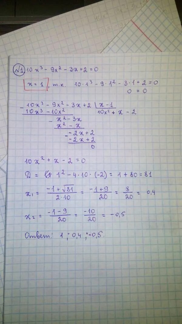
9 x 10 3x 9 0