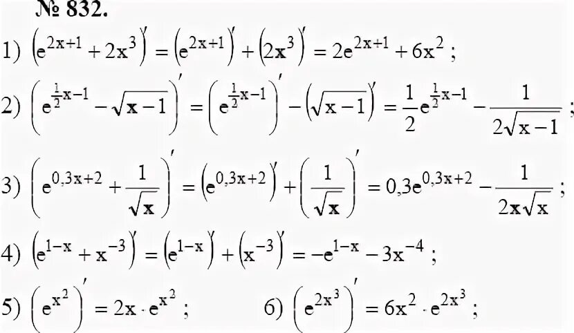
832 упр алгебра