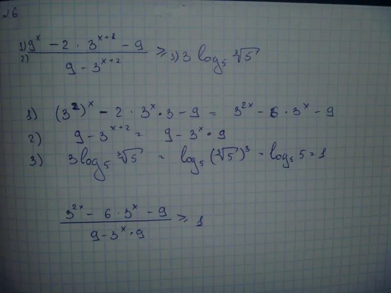
81 по основанию 1 3