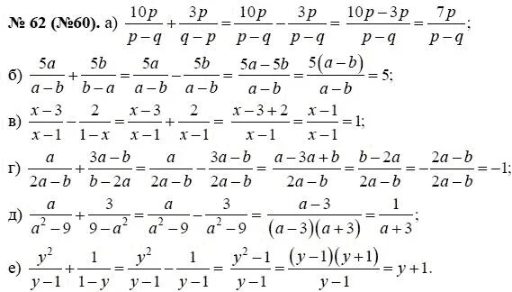
8 класс алгебра макарычев страница