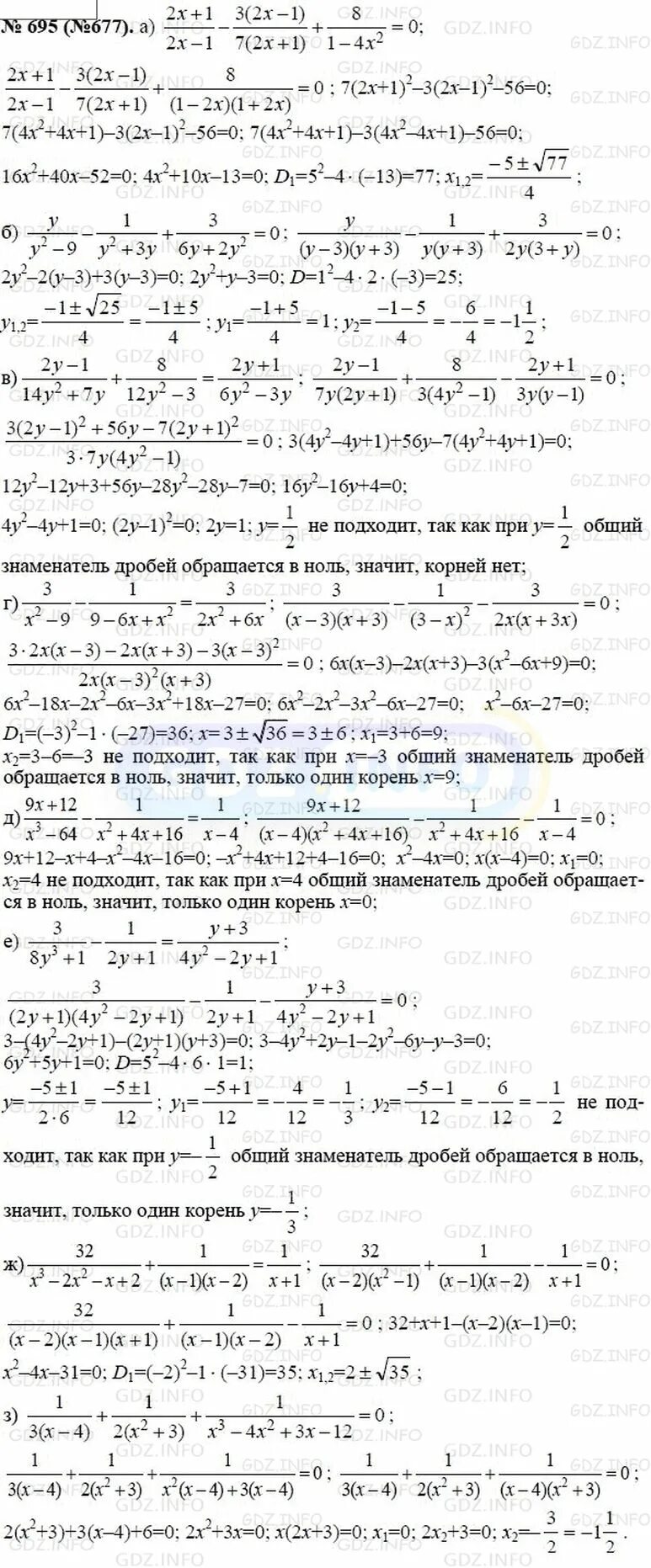
7 класс алгебра страница 149 номер 695