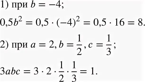
7 2b при b 1 3