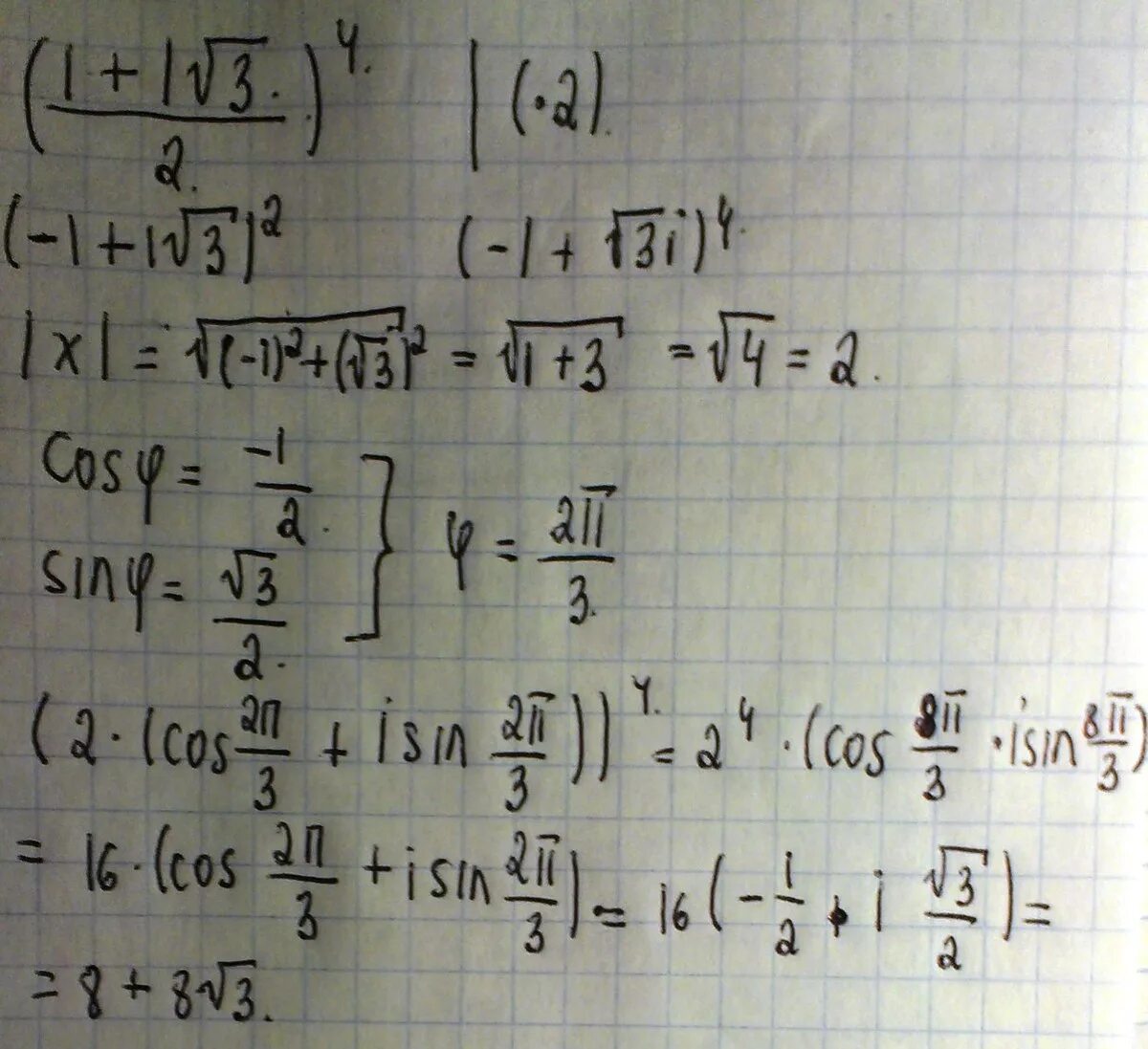
6 i 2 решение