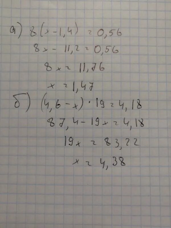
6 8х 4х