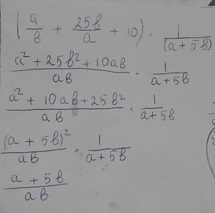
5 упростить выражение a б b