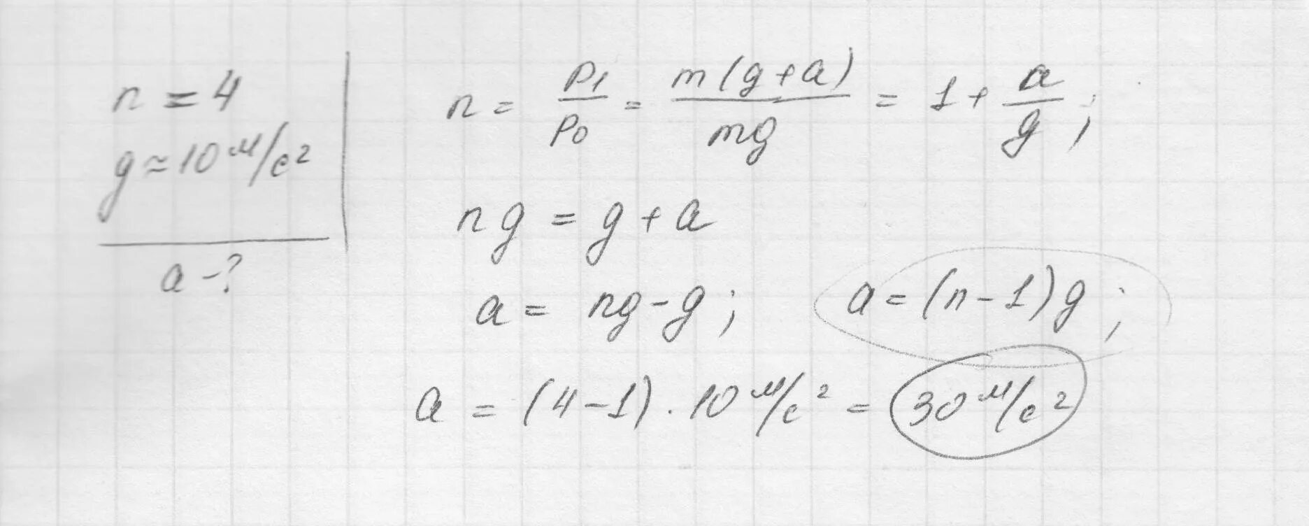
5 ракета поднимается вертикально вверх