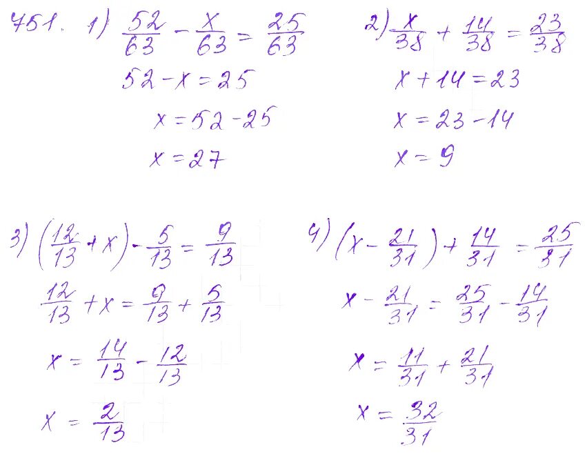
5 класс мерзляк полонский якир страница