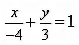
4x 3y 12 0