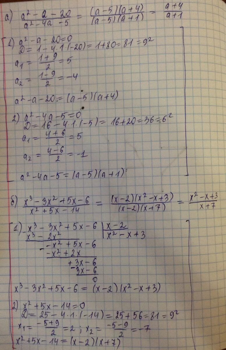
4x 14 2 0 8