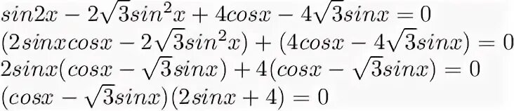
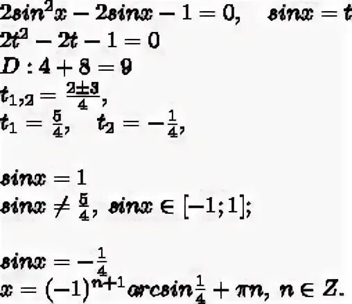
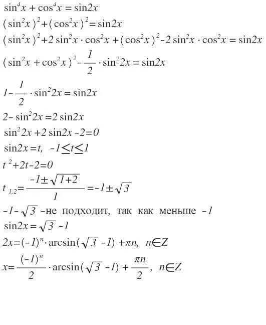
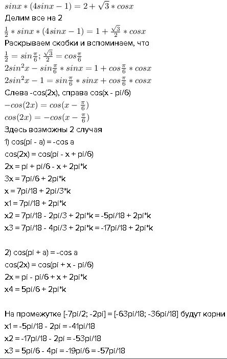
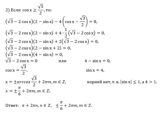
4 sinx 4 sinx 5 2