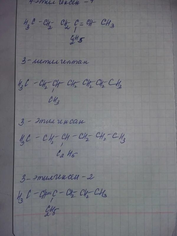
4 метилгептан формула