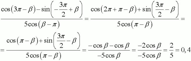
3cos п b sin п 2