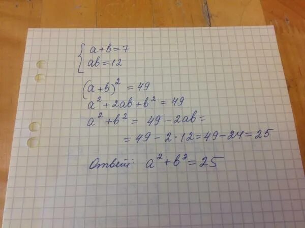
35b 15b 680 найдите значение b