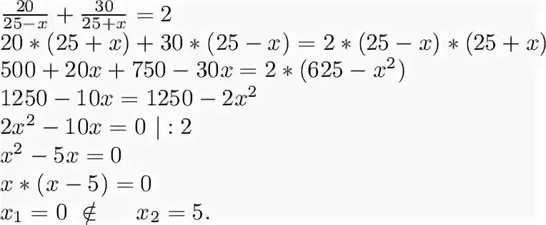
3 х 2 равно 25