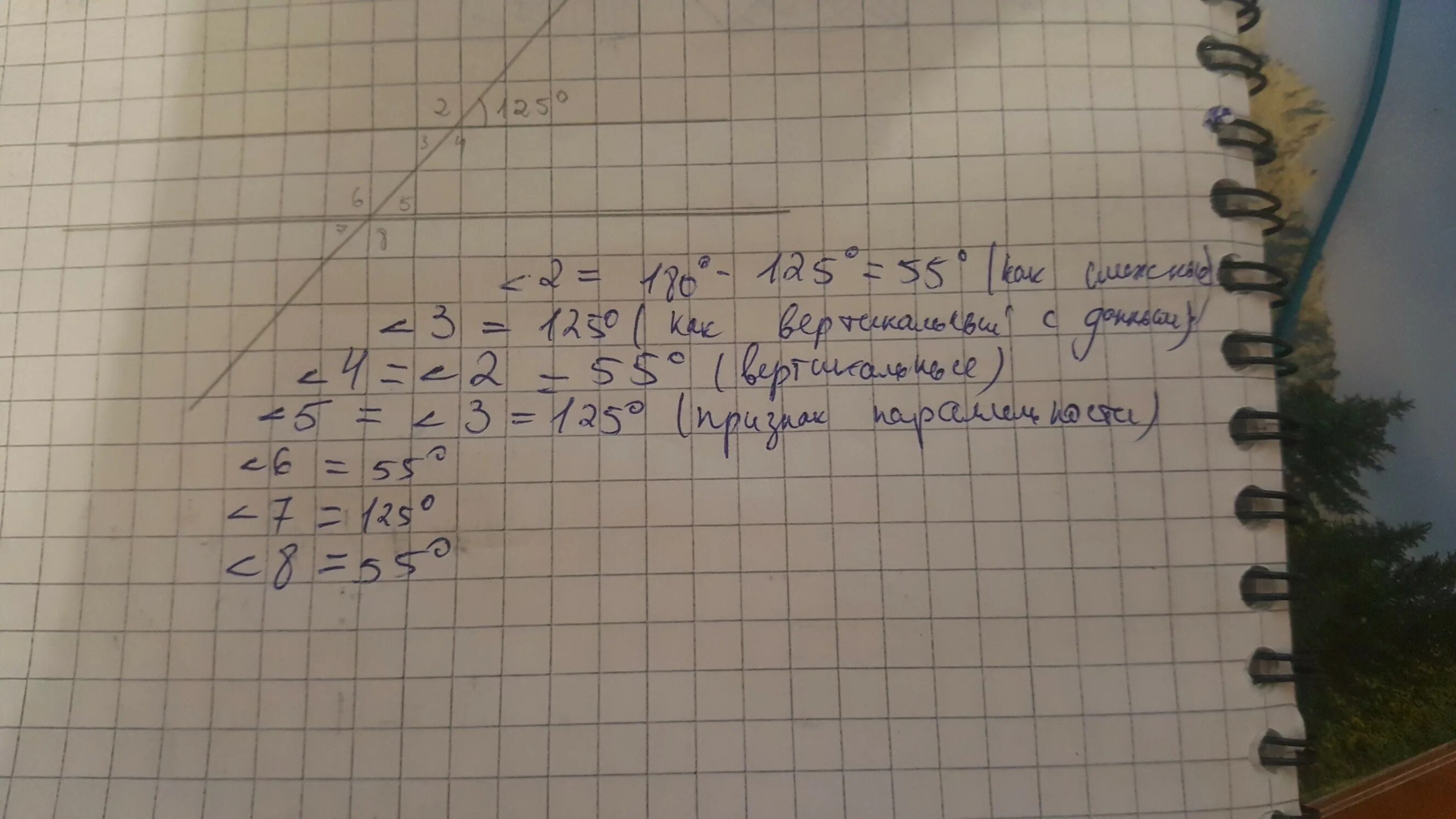
3 чисел равна 125