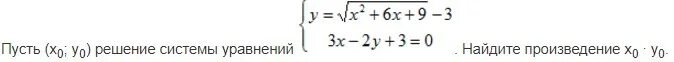
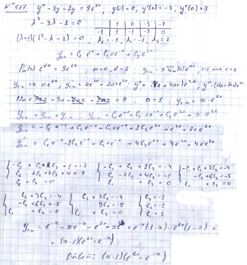
3 3y 0 найти 3y