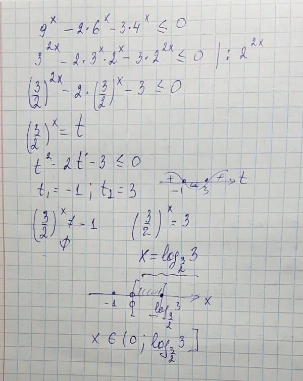
2x 3x 4 2 7x 6