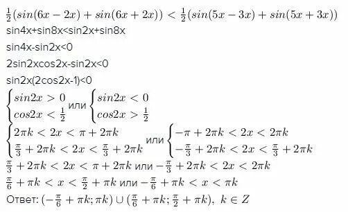
2sin 2x sin x 1 0