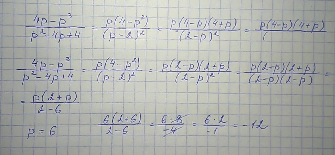
2р 3 2р 3 р 2