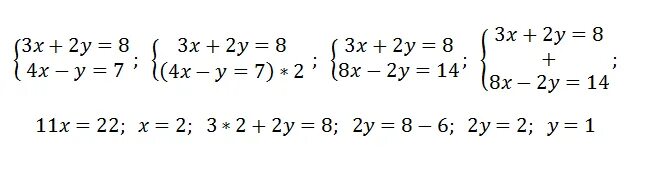
2х у 2 3х у 8