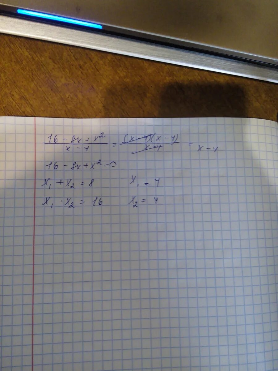
2х 8 х 2 16