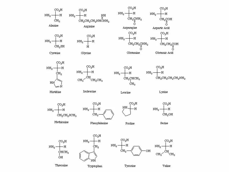
20 аминокислот определите