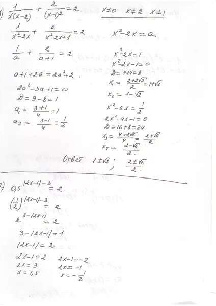
2 в степени х 1 равно 0