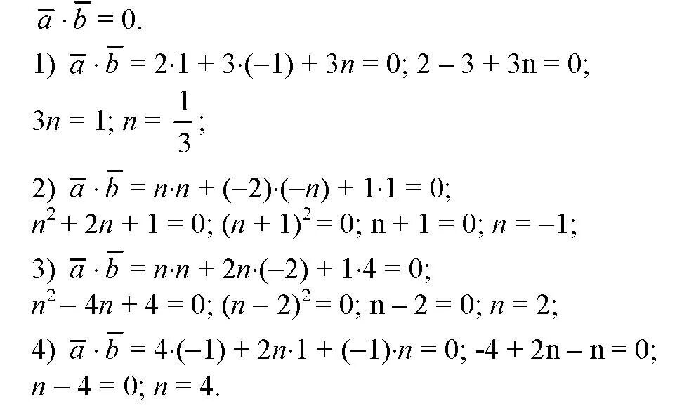
2 при каком значении перпендикулярны векторы