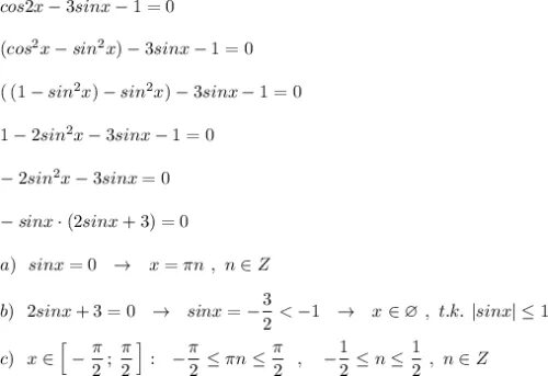
2 cos x 3 sinx 0