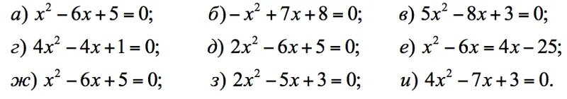
2 1 4 в квадрате решение