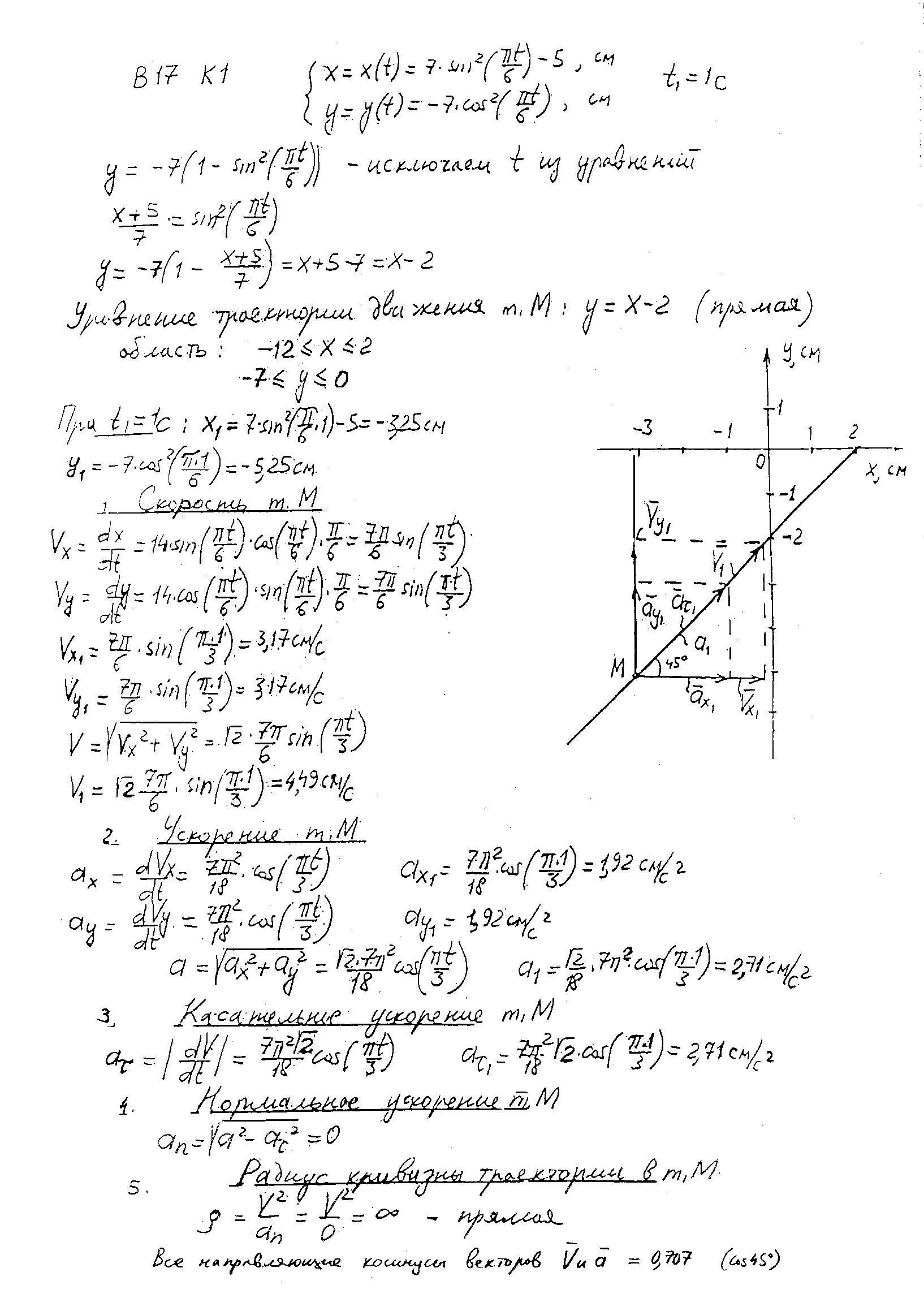
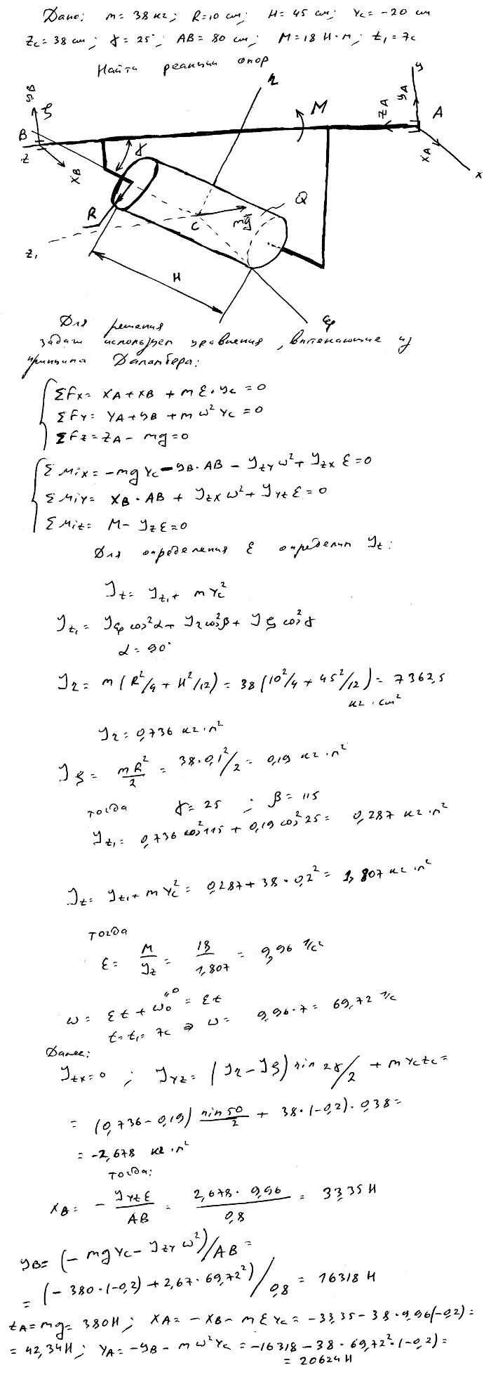
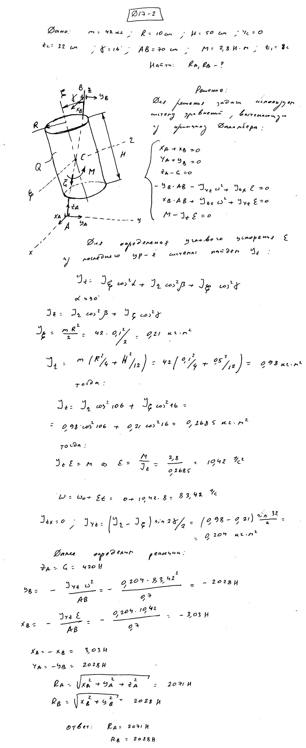
17 вариант физика